Tuesday March 2026

হটলাইন

সেবা এবং ধাপ

নং শিরোনাম সেবার ধাপ কার্যকলাপ
  
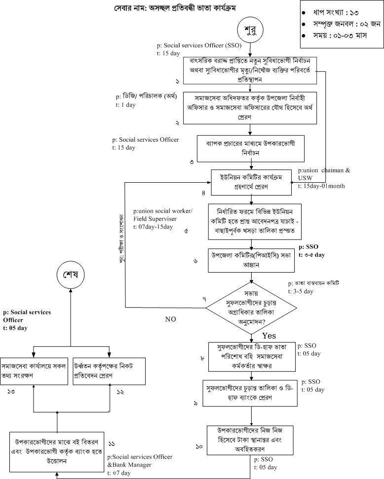
অস্বচ্ছল প্রতিবন্দিভাতা কার্যক্রম দেখুন
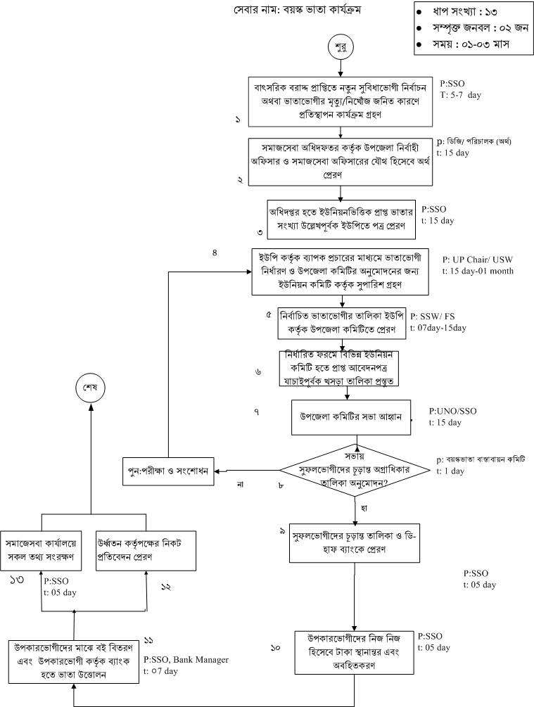
বয়স্ক ভাতা প্রদান দেখুন
উপজেলা পর্যায়ে বিধবা, দুঃস্থ মহিলা, স্বামী পরিত্যাক্তাদের ভাতা প্রদান কার্যক্রমরে প্রসেস ম্যাপ দেখুন
ক্ষুদ্রঋণ কার্যক্রম দেখুন
পল্লী সমাজ সেবার আওতায় সুদমুক্ত ঋণ দেখুন
দেখছেন ১ থেকে ৫ পর্যন্ত, মোট ৫ এন্ট্রি

এক্সেসিবিলিটি

স্ক্রিন রিডার ডাউনলোড করুন